In mathematics, an "identity" is an equation which is always true, regardless of the specific value of a given variable. An identity can be "trivially" true, such as the equation x = x or an identity can be usefully true, such as the Pythagorean Theorem's a2 + b2 = c2
Content Continues Below
Logically, mathematical identities are tautologies; that is, they are expressions which restate the same expression in a different way. In other words, the identities allow you to restate a trig expression in a different format, but one which has the exact same value.
There are loads of trigonometric identities, but the following are the ones you're most likely to see and use.
Basic & Pythagorean, Angle-Sum & -Difference, Double-Angle, Half-Angle, Sum, Product
Affiliate
Notice how a "co-(something)" trig ratio is always the reciprocal of some "non-co" ratio. You can use this fact to help you keep straight that cosecant goes with sine and secant goes with cosine.
The following (particularly the first of the three below) are called "Pythagorean" identities.
sin2(t) + cos2(t) = 1
tan2(t) + 1 = sec2(t)
1 + cot2(t) = csc2(t)
Advertisement
Note that the three identities above all involve squaring and the number 1. You can see the Pythagorean-Thereom relationship clearly if you consider the unit circle, where the angle is t, the "opposite" side is sin(t) = y, the "adjacent" side is cos(t) = x, and the hypotenuse is 1.
We have additional identities related to the functional status of the trig ratios:
sin(−t) = −sin(t)
cos(−t) = cos(t)
tan(−t) = −tan(t)
Notice in particular that sine and tangent are odd functions, being symmetric about the origin, while cosine is an even function, being symmetric about the y-axis. The fact that you can take the argument's "minus" sign outside (for sine and tangent) or eliminate it entirely (for cosine) can be helpful when working with complicated expressions.
sin(α + β) = sin(α) cos(β) + cos(α) sin(β)
sin(α − β) = sin(α) cos(β) − cos(α) sin(β)
cos(α + β) = cos(α) cos(β) − sin(α) sin(β)
cos(α − β) = cos(α) cos(β) + sin(α) sin(β)
By the way, in the above identities, the angles are denoted by Greek letters. The a-type letter, "α", is called "alpha", which is pronounced "AL-fuh". The b-type letter, "β", is called "beta", which is pronounced "BAY-tuh".
Content Continues Below
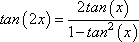
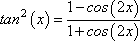
sin(2x) = 2 sin(x) cos(x)
cos(2x) = cos2(x) − sin2(x) = 1 − 2 sin2(x) = 2 cos2(x) − 1
The above identities can be re-stated by squaring each side and doubling all of the angle measures. The results are as follows:
Affiliate
You will be using all of these identities, or nearly so, for proving other trig identities and for solving trig equations. However, if you're going on to study calculus, pay particular attention to the restated sine and cosine half-angle identities, because you'll be using them a lot in integral calculus.
URL: https://www.purplemath.com/modules/idents.htm
© 2024 Purplemath, Inc. All right reserved. Web Design by