We use the Midpoint Formula to find the point that is exactly midway between two other points. For instance, if we need to find the perpendicular bisector of a given line segment, the first step will be to apply the Midpoint Formula to find the middle point.
Content Continues Below
Technically, the Midpoint Formula is the following:
The Midpoint Formula: The midpoint of two points, (x1, y1) and (x2, y2) is the point M found by the following formula:
Advertisement
To apply the Midpoint Formula to a pair of points (x1, y1) and (x2, y2), follow these steps:
In an intuitive sense, the Midpoint Formula takes the coordinates of the two given points, and finds the averages of the x- and y-values.
Affiliate
Think about it this way: If you are given two numbers, you can find the number exactly midway between them by averaging them; that is, by adding them together and dividing their sum by 2. For example, the number exactly halfway between 5 and 10 is:
The Midpoint Formula works exactly the same way. If you need to find the point that is exactly halfway between two given points, just average the x-values and the y-values.
First, I apply the Midpoint Formula; then, I'll simplify:
So the answer is P = (1, −2).
As long as you remember that you're averaging the two points' x- and y-values, you'll do fine. It won't matter which point you pick to be the "first" point you plug in. Just make sure that you're adding an x to an x, and a y to a y.
Content Continues Below
I'll apply the Midpoint Formula, and simplify:
So the answer is P = (−2.15, 3.5).
Why did I give my answer in decimal form, rather than in fractional form? Because they gave me points whose coordinates were in decimal form, and they didn't say anything about my having to convert those values, so I stuck with what they'd given me.
I'll apply the Midpoint Formula:
Affiliate
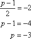
The y-coordinates already match. This reduces the problem to needing to compare the x-coordinates, "equating" them (that is, setting them equal, because they need to be the same) and solving the resulting equation to figure out what p is. This will give me the value necessary for making the x-values match. So:
So my answer is:
p = −3
I will plug the three points into the Midpoint Formula, and see where that leads.
I can use this to create two equations, one each for the x- and y-coordinates of the point I need to find.
9 + p = 2
p = 2 − 9 = −7
Now for the other coordinate:
−3 + q = 2
q = 2 + 3 = 5
This gives me both coordinates of the point they're wanting, so my answer is:
(p, q) = (−7, 5)
URL: https://www.purplemath.com/modules/midpoint.htm
© 2024 Purplemath, Inc. All right reserved. Web Design by