There are three matrix row operations: swapping, multiplying, and adding.
In practice, the most common procedure is a combination of row multiplication and row addition.
Content Continues Below
I'll show you how to apply the operations by hand on scratch paper, but try to get permission to use a calculator. It'll cut down on vexing arithmetical errors.
(Yes, the above is *definitely* the voice of experience speaking!)
Advertisement
Row operations allow you to make useful changes to a matrix's entries. So, yes; the row operations do change the matrix. (further info from stackexchange)
Affiliate
But, in practical terms, the row operations do not change the solution to a system of equations.
For instance, if you use row operations to change the entries so all the rows have a leading 1's, or else zeroes followed by a 1 (with other values further to the right), then you'll have simplified the system of equations to one that is simpler to solve.
The system may end up looking different but, as long as you've done the arithmetic correctly, the solution to the system will be the same.
Thinking back to solving two-equation linear systems by addition, you most often had to multiply one row by some number before you added it to the other row. For instance, given:
x + 2y = 1
−2x + 3y = 5
...you would multiply the first row by 2 before adding it to the second row:
Using matrices, the above system looks like this:
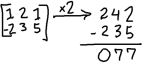
I'll grab some scratch paper for doing the row calculation:
Now I'll write the new matrix, with its new second row, using standard notation to indicate what I'd done (n my scratch-work):
Remember how the notation works: The 2R1 + R2 on the arrow means "I multiplied row one by 2, and then I added the result to row two". Note that row one itself is actually unchanged, so it is copied over to the new matrix. Only row two was actually adjusted. I worked *with* R1, and worked *on* R2.
Content Continues Below
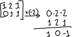
By the way, for doing operations like this, you'll probably want to use a lot of scratch paper, so you can be careful with your calculations. Or else you'll want to figure out how to have your graphing calculator do the messy parts. For instance, my calculator can do the 2R1 + R2 operation like this:
Check your manual for the instructions for your model of calculator.
Returning to that original matrix above (as derived from the system of equations), this is what the full matrix row-operation calculation would look like:
Hand-in work (Keep it neat!) |
Scratch work (Don't hand this in!) |
---|---|
![]() |
|
![]() |
|
![]() |
|
![]() |
|
![]() |
|
![]() |
Remember to do the scratch-work on scratch paper, not in the margins of your homework. You would hand in the following:
The above matrix calculations correspond to solving the linear system "x + 2y = 1, −2x + 3y = 5" to get the solution "x = −1, y = 1".
It's fairly simple to learn the three matrix row operations, but actually doing the operations can be frustrating. It is amazingly easy to make little arithmetic errors that mess up all your calculations.
Affiliate
So do your work very clearly, plainly denoting the row operations you are doing. The neater you are, the more likely you'll be to get the right answer in the end, but even if you get a wrong answer, neat work is a lot easier to check.
If you are required to do the work by hand but you have a graphing calculator, ask your instructor if it's okay to do the operations in the calculator (instead of on scratch paper), just writing down the steps you took and copying down the results, because this can really cut down on the errors.
Matrices are quite powerful and versatile, but — good golly! — are they annoying to do by hand!
You can use the Mathway widget below to practice reducing matrices. Try the entered exercise, or type in your own exercise. Then click the button and select "Find Reduced Row Echelon Form" to compare your answer to Mathway's. (The widget is not capable of doing row operations, so you can use the widget only to check your final answer.)
Please accept "preferences" cookies in order to enable this widget.
(Click "Tap to view steps" to be taken directly to the Mathway site for a paid upgrade.)
URL: https://www.purplemath.com/modules/mtrxrows2.htm
© 2024 Purplemath, Inc. All right reserved. Web Design by