The topic of proportions has some specific terminology that you may need to know. For instance, given the following proportion equation:
...the values in the "b" and "c" positions are called the "means" of the proportion, while the values in the "a" and "d" positions are called the "extremes" of the proportion.
A basic defining property of any proportion is that the product of the means is equal to the product of the extremes. In other words, given the proportional statement:
Content Continues Below
...we know that it must be true that ad equals bc. This fact about proportions is, in effect, the cross-multiplication demonstrated on the previous page. And this cross-multiplication fact about the products of the means and extremes is occasionally turned into a homework problem, such as:
For these fractions (that is, these ratios) to be proportional (that is, for them to create a true proportional equation when they are set equal to each other), it has to be true that the product of the means of that equation is equal to the product of the extremes. So I can figure out if the two fractions are indeed proportional to each other (without simplifying them) by finding these two products.
Affiliate
In other words, by specifying that I'm supposed to not simplify the fractions, they are hinting that they are wanting me to find the product of 140 and 30 (being the means, if I keep the fractions in the same order as they've given them to me) and the product of 24 and 176 (being the extremes), and then see if these products are equal. So I'll check:
140 × 30 = 4200
24 × 176 = 4224
While these values are close, they are not equal, so I know the original fractions cannot be proportional to each other. So my answer is:
The fractions are not proportional because the product of their means does not equal the product of their extremes.
If I'd reversed the fractions, and used 176 and 24 as my means and 30 and 140 as my extremes, I would have gotten the same products (just in reverse order), and thus the same answer (namely, that the fractions are not proportional). So don't worry about which fraction is "first" or "second"; either way will work.
To confirm proportionality (or to disprove it), I'll need to set up the proportion, multiply the means, multiply the extremes, and compare the results. Or, which is the same thing (but without doing an equation that might not actually be true), I'll multiply one fraction's denominator by the other's numerator, and vice-versa:
(42)(65) = 2,730
(55)(50) = 2,750
Once again, they're close, but they're not equal. So:
The fractions are not proportional because the product of their means does not equal the product of their extremes.
I "cross-multiply" (meaning, in this context, multiplying one fraction's numerator by the other's denominator, and vice versa):
(42)(1,105) = 46,410
(273)(170) = 46,410
Finally, a pair that is proportional!
The fractions are proportional because, when set up as a proportion, the product of the means is equal to the product of the extremes.
Content Continues Below
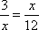
The other technical type of exercise based on the terminology of proportions is the finding of the "mean proportional" between two numbers. Mean proportionals are a special class of proportions, where the means of the proportion are equal to each other. An example of a mean proportional would be:
In the proportional equation created by these two equal fractions, the means of the proportion are both the same value, "2", while the extremes are 1 and 4. This tells us that the number 2 is the "mean proportional" between the numbers 1 and 4.
In exercises based on the mean proportional, we may be given two values and be asked to find the mean proportional between them.
They've given me two numbers and a keyword, being "mean proportional". So I know that I need to set up a proportion, using the given values as the extremes, and then I have to find the means.
By definition of "mean proportional", I know that the means will be the same one value. I'll let "x" be that one value that I'm looking for. I'll set up my proportion equation, using my variable for the means, and the two values that they've given me as the extremes:
Now I'll cross-multiply and then solve for the value of x:
3 × 12 = x2
36 = x2
± 6 = x
Since I am looking for the mean proportional of 3 and 12, I would have figured that I would need to take only the positive value as my answer, so that the mean proportional would be just the 6. However, considering the fractions, either value would work:
If I check the cross-products of each equation, I'll get equal results; in other words, the negative value is a valid result, too. So, actually, there are two mean proportionals to the given equation:
−6 and 6
Note: Your book (or instructor) may want you only to consider the positive mean proportional, since the positive value is between 3 and 12. In fact, your book (or instructor) may define "mean proportional" to be only and always a positive value. Use the definition given by your book (or instructor), but be aware that you may encounter other definitions in other classes or contexts.
To find the means, I'll set up my equation, and solve:
4 × 25 = x2
100 = x2
±10 = x
Since they specified that they want the positive mean, my answer is:
10
Affiliate
You may have noticed that, in the above solutions, I always ended up with a squared value equal to a number, and then I took the square root of each side of the equation. This gives a shortcut method for solving for the mean proportional:
They specified that they want the value that is "between" the two given values, and those values are positive, so I know they're wanting the positive solution. Instead of setting up a proportion, cross-multiplying to create a quadratic equation, and then solving, I'll go straight to the square root:
And that final value is my answer:
20
Affiliate
(By the way, while highly unusual, you may see an exercise where the extremes of a proportion (that is, the given values in a "find the mean proportional" exercise) are both negative. When these values are multiplied, the "minus" signs will cancel off, and you can take the square root, as usual.
(However, it is impossible to have a proportion where the extremes have opposite signs. Why? Because the product of opposite-sign extremes would be negative, and you can't take the square root of a negative. If you're ever asked to find the mean proportional of two opposite-sign values, be aware that it's a trick question!)
Just because all the examples they gave me in the textbook had whole numbers, doesn't mean that a proportion cannot contain fractions; it can. I'll use the shortcut method for solving, by multiplying the two extremes, and then taking the (positive) square root:
So the mean proportional of the two fractions is another fraction:
Advertisement
You may also hear the "mean proportional" referred to as the "geometric mean". This is because this proportional relationship crops up in the geometry of right triangles. If we take a right triangle and draw a line from the right angle to the hypotenuse, so this line is perpendicular to the hypotenuse, then the hypotenuse will be split into two pieces. The perpendicular line can be viewed as being the line indicating the height "h" of the triangle, when the hypotenuse is the base. The two pieces are labelled "x" and "y" in the drawing below:
It can be proved that the height h and the two pieces, x and y, of the base form a proportion:
In particular:
This relationship can be turned into exercises, such as:
When a right triangle is set up this way, with the height line being drawn from the right angle to the hypotenuse, the height and the two pieces of the base form a proportion in which the height is the mean proportional of the two pieces. So, to find the height, I need to find the mean proportional of the two values they've given me.
(132)(44) = 5,808
Then I factor:
5,808 = (16)(121)(3)
And then I take the square root:
Then, after multiplying this out, I find that the height of the triangle is:
URL: https://www.purplemath.com/modules/ratio3.htm
© 2024 Purplemath, Inc. All right reserved. Web Design by