For this section in your textbook, and on the next test, you'll be facing at least a few highly complex simplification exercises. You may never again see anything so complicated as these, but they're not that difficult to do, as long as you're careful.
This is not a time to try to do three steps all at once in your head! But if you're methodical and neat, you should be able to get all the points.
Content Continues Below
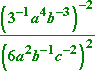
Before I can cancel anything off, I need to simplify that top parentheses, because it has a negative exponent on it. I can't cancel off, say, the a's, because that a4 isn't really on top. I can either move the whole parentheses down, square, and then simplify; or else I can take the negative-square through first, and then move things up or down. I'll show both ways:
moving the parentheses first:
squaring first:
There are other ways to go about simplifying the above. As long as each step is logically valid and you get the right answer, your particular sequence of steps will have been correct.
This is a special case. The negative exponent says that whatever is on top should go underneath, and whatever is underneath should go on top. So I'll just flip the fraction (remembering to change the power from a negative to a positive), and simplify from there:
Note: This "flipping the fraction" technique only works if the negative exponent is on the whole fraction.
Content Continues Below
There are so many ways I can do this. I'll show four:
Method A: flip inside, simplify,
do negative cube, flip,
and simplify:
Method B: flip inside, simplify,
flip the fraction, and cube:
Method C: flip the fraction,
simplify inside, cube, flip the
negative exponents,
and simplify:
Method D: flip the fraction,
flip the negative exponents,
simplify, and cube:
Affiliate
Affiliate
You should expect to see at least one exercise on your test that is as complicated as this last example. While you may rarely, if ever, again see another exercise like this, developing the habits of care and organization necessary to complete these reliably will stand you in good stead for the rest of your career.
You can use the Mathway widget below to practice simplifying with exponents. Try the entered exercise, or type in your own exercise. Then click the button to compare your answer to Mathway's.
Please accept "preferences" cookies in order to enable this widget.
(Click "Tap to view steps" to be taken directly to the Mathway site for a paid upgrade.)
URL: https://www.purplemath.com/modules/simpexpo3.htm
© 2024 Purplemath, Inc. All right reserved. Web Design by