Remember, one-variable linear inequalities solve almost exactly like one-variable linear equations. (Yes, there is one difference. We'll discuss that issue shortly.)
So, like always, do the same thing to both sides, and you'll be golden.
Content Continues Below
If they had given me the equation "2x = 9", I would have divided the 2 from each side. I can do the same thing here:
Affiliate
I could write the solution in decimal form (that is, as 4.5), but they're probably preferring fractions, so my hand-in answer is:
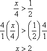
If they had given me the equation , I would have multiplied both sides by 4 in order to find my solution. I can do the same thing with the inequality they've given me:
Yes, I could have done this in my head (I mean, fourths and halves? easy!), but then I wouldn't have had any work to show. And they like seeing the work.
My answer is:
x > 2
Advertisement
Remember how I said that solving linear inequalities is *almost* exactly like solving linear equations? Well, this is the one place where it's different. To explain what I'm about to do, consider the following true inequality statement:
3 > 2
What happens to the above inequality when I multiply through by −1? The temptation is to say that the answer will be "−3 > −2". But −3 is not greater than −2; it is in actuality smaller than −2. That is, the correct inequality, after changing all the signs, is actually the following:
−3 < −2
As you can see, multiplying by a negative (−1, in this case) flipped the inequality sign from "greater than" to "less than". This is the new wrinkle for solving inequalities; this is why solving linear inequalities is only *almost* just like solving linear equations.
To solve −2x < 5, I need to divide through by a negative (in this case, −2), so I will need to flip the inequality:
Note: The graphic below is animated in the original ("live") version of the web page.
Then my answer is:
You may wonder why we have to flip the inequality symbol when dividing (or multiplying) through by a minus, when there was no talk of flipping anything when you were working with linear equations. But, if you think about it, what difference would flipping an "equals" sign make, right?
If you'd like to avoid concerns about flipping signs, then move things around so any coefficient on the variable is no longer negative. In the above exercise, this would have meant that your first step would be:
−2x < 5
+2x − 5 < −5 + 2x
−5 < 2x
By doing addition and subtraction, instead of division, the coefficient on the variable is now a plus, and dividing through will not require flipping anything.
If you feel more comfortable handling "minus" coefficients this way, then do so. It might be a bit non-standard, but it's perfectly valid mathematics.
Either way, always remember:
When solving inequalities, if you multiply or divide through by a negative, you must also flip the inequality sign.
Content Continues Below
Hmm... this is messier than the other ones. But I can use my familiar tools from solving linear equations, so this is doable.
First, I'll multiply through by 4. Since the 4 is positive, I don't have to flip the inequality sign:
This took more steps than did the previous exercises, but each step is one that I learned back when I was solving linear equations, so the whole process was actually pretty easy. My answer is:
You can use the Mathway widget below to practice solving linear inequalities. Try the entered exercise, or type in your own exercise. Then click the button and select one of the "Solve for" options to compare your answer to Mathway's. (Or skip the widget and continue with the lesson.)
Please accept "preferences" cookies in order to enable this widget.
(Clicking on "Tap to view steps" on the widget's answer screen will take you to the Mathway site for a paid upgrade.)
So the take-away so far is:
To solve one-variable linear inequalities, such as x ≥ −3, follow these steps:
There is no "formula" for solving linear inequalities, but there are useful steps; namely:
So far, we've been dealing with inequalties whose solutions take up half of the number line. But inequalities can be more complex, having more than one inequality relation involved.
A compound inequality is one in which there are two or more inequality symbols; in other words, there will be two or more inequalities which are to be worked on as a set. A number is a solution to a compound inequality if it "satisfies" (that is, if it works in) any part of the compound inequality.
This is what is called a "compound inequality". It works just like regular inequalities, except that it has three sides to work with, instead of the usual two sides. So, for instance, when I go to subtract the 4, I will have to subtract it from all three sides.
This three-part inequality is the answer they're looking for. It says that x can be any value between two and five, inclusive. My hand-in answer is:
2 ≤ x ≤ 5
Affiliate
Compound linear inequalities come in two types: the "and" type and the "or" type. An example of the "and" type would be −3 ≤ x < 4. Any solution value will have to be greater than −3 and also less than 4. An example of the "or" type of compound inequality would be x ≤ −3 and x > 4. And solution value will have to be less than −3 or else greater than 4; no solution value can exist in both solution intervals.
The exercise I did above is an example of an "and" compound inequality; in other words, it has two inequality symbols in one statement, and any solution point has to work in both of those statements.
In contrast to the exercise above, compound inequalities can, as mentioned, also be completely separate inequalities, but ones that you have to deal with together; these are the "or" compound inequalities. The solution space of an "or" inequality (that is, the set of all values that satisfy at least one portion of that inequality) will be completely separate intervals. Of course, no x-value can be inside two different intervals at the same time, which is why these inequalities are joined by the word "or".
Any compound inequality, where the inequalities are joined by "and", will be compounded like the above example: one three-part inequality, with the variable bounded by two actual numbers (that is, no infinities are involved). Any compound inquality, where the inequalities are joined by "or", will be two (or more) completely separate intervals. The solution will have two or more completely separate solution intervals, and those intervals will probably involve infinities.
To solve this compound inequality, I will have to solve each of the two inequalities separately. Here's solving the first one:
3x + 2 ≤ −4
3x ≤ −6
x ≤ −2
Okay, that solved one of the inequalities. Now I'll solve the other one:
5x − 3 ≥ 17
5x ≥ 20
x ≥ 4
The intervals for these two inequalities do not overlap (that is, their sets of solution points do not intersect), so the solution is the two inequalities, with an "or" between them. Why the "or"? Because no one x-value can be in the two separate intervals at the same time; no x-value can both be less than −2 and also greater than 4. Any solution value will be in the one interval or else in the other interval, but it can never be in both at the same time. So these inequalities cannot be taken together with an "and"; they must be held separate with an "or".
So my answer is:
x ≤ −2 or x ≥ 4
You can use the Mathway widget below to practice solving an interval inequality. Try the entered exercise, or type in your own exercise. Then click the button to compare your answer to Mathway's. (Or skip the widget and continue with the lesson.)
Please accept "preferences" cookies in order to enable this widget.
(Clicking on "Tap to view steps" on the widget's answer screen will take you to the Mathway site for a paid upgrade.)
URL: https://www.purplemath.com/modules/ineqlin2.htm
© 2024 Purplemath, Inc. All right reserved. Web Design by