A repeated factor is a factor which is raised to a power — like (x − 3)4 — or otherwise occurs in a rational expression's denominator more than once.
Repeated factors can make partial fraction decomposition a bit more "fun".
Content Continues Below
Affiliate
Advertisement
Consider regular numerical fractions: Sometimes a factor in the denominator occurs more than once. For instance, in the fraction , the denominator 24 factors as 2×2×2×3. The factor 2 occurs three times. To get the , there may have been a or a or a that was included in the original addition. You can't tell by looking at the final result.
In the same way, if a rational expression has a repeated factor in the denominator, you can't tell, just by looking, which denominators might have been included in the original addition. Because of this, you have to account for every possibility.
The factor x − 1 occurs three times in the denominator. I will account for that by forming fractions containing increasing powers of this factor in the denominator, like this:
Now I multiply through by the common denominator to get:
x2 + 1 = Ax(x − 1)2 + Bx(x − 1) + Cx + D(x − 1)3
I could use a system of equations to solve for A, B, C, and D, but the other method (picking useful x-values) seemed easier. The two zeroing-out numbers here are x = 1 and x = 0, so:
x = 1: 1 + 1 = 0 + 0 + C + 0, so C = 2
x = 0: 1 = 0 + 0 + 0 − D, so D = −1
Okay; that's two of the coefficients done. But what do I do now to get the other two? I have two other variables, namely A and B, for which I need values. But since I've got values for C and D, I can pick any two other x-values, plug them in, and get a system of equations that I can solve for A and B. The particular x-values I choose aren't important, so I'll pick smallish ones:
x = 2:
(2)2 + 1 = A(2)(2 − 1)2 + B(2)(2 − 1) + (2)(2) + (−1)(2 − 1)3
4 + 1 = 2A + 2B + 4 − 1
5 = 2A + 2B + 3
1 = A + B
x = −1:
(−1)2 + 1 = A(−1)(−1 − 1)2 + B(−1)(−1 − 1) + (2)(−1) + (−1)(−1 − 1)3
1 + 1 = −4A + 2B − 2 + 8
2 = −4A + 2B + 6
2A − B = 2
I'm still stuck solving a system of equations, but by using the easier method to solve for C and D, I now have a simpler system to solve. Adding the two equations, I get 3A = 3, so A = 1. Then B = 0 (so the B term in the expansion "vanishes"), and the complete decomposition is:
In the above example, one of the coefficients turned out to be zero. This doesn't happen often (in algebra classes, anyway), but don't be surprised if you get zero, or even fractions, for some of your coefficients. The textbooks usually stick pretty closely to nice neat whole numbers, but not always. Don't just assume that a fraction or a zero is a wrong answer. For instance:
...decomposes as:
Note: You can also handle the fractions like this:
Content Continues Below
An irreducible factor is a quadratic factor which does not itself factor into two linear polynomials. If plugging the quadratic into the Quadratic Formula generates answers with square roots or complex values, then (in the context of partial fraction decomposition) the quadratic is irreducible.
Affiliate
Irreducible factors are the rational-expression version of prime-number factors in regular fractions.
If the denominator of your rational expression has an unfactorable quadratic, then you have to account for the possible size of the numerator. When the denominators were linear expressions, the numerators were one degree less; tht is, they were constants. If the denominator contains a degree-two factor, then the numerator might not be just a number; it might be of degree one. So you would deal with a quadratic factor in the denominator by including a linear expression in the numerator.
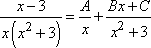
Factoring the denominator, I get x(x2 + 3). I can't factor the quadratic bit, so my expanded form will look like this:
Note that the numerator for the "x2 + 3" fraction is a linear polynomial, not just a constant term.
Multiplying through by the common denominator, I get:
x − 3 = A(x2 + 3) + (Bx + C)(x)
x − 3 = Ax2 + 3A + Bx2 + Cx
x − 3 = (A + B)x2 + (C)x + (3A)
The only zero in the original denominator is x = 0, so:
(0) − 3 = (A + B)(0)2 + C(0) + 3A
−3 = 3A
Then A = −1. Since I have no other helpful x-values to work with, I think I'll take the one value I've solved for, equate the remaining coefficients, and see what that gives me:
x − 3 = (−1 + B)x2 + (C)x − 3
−1 + B = 0 and C = 1
B = 1 and C = 1
(There is no one "right" way to solve for the values of the coefficients. Use whichever method "feels" right to you on a given exercise.)
Then my decomposition is:
URL: https://www.purplemath.com/modules/partfrac2.htm
You can use the Mathway widget below to practice doing partial fraction decomposition. (Or skip the widget and continue on to the next page.) Try the entered exercise, or type in your own exercise. Then click the button and select "Split Using Partial Fraction Decomposition" to compare your answer to Mathway's.
Please accept "preferences" cookies in order to enable this widget.
(Click "Tap to view steps" to be taken directly to the Mathway site for a paid upgrade.)
© 2024 Purplemath, Inc. All right reserved. Web Design by