While slogging through these exercises, you may have wondered:
Partial fraction decomposition works by using prime factors and some logic to take apart complicated fractions into smaller, simpler ones.
Content Continues Below
Affiliate
Advertisement
Partial fraction decomposition works because fractions with prime denominators can only combine (by adding or subtracting them together) in one way. The process works because the prime factors in the denominator of the original rational expression can only be split apart in one way, due to its denominator's factors being unique.
(I found a nice analogy for partial fraction decomposition — the hows and whys — on StackExchange; rather than repeat what he said, I'll give you the link.)
If the denominator of your rational expression has repeated unfactorable quadratics, then you use linear-factor numerators and follow the pattern that we used for repeated linear factors in the denominator; that is, you'll use fractions with increasing powers of the repeated factors in the denominator.
Since x2 + 1 is not factorable, I'll have to use numerators with linear factors. Then the decomposition set-up looks like this:
Thankfully, I don't have to try to solve this one.
Content Continues Below
One additional note: Partial-fraction decomposition only works for proper fractions. That is, if the denominator's degree is not larger than the numerator's degree (so you have, in effect, an improper polynomial fraction), then you first have to use long division to get the mixed number form of the rational expression.
Then you only have to decompose the remaining fractional part.
The numerator is of degree 5; the denominator is of degree 3. So first I have to do the long division:
The long division rearranges the rational expression to give me:
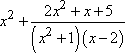
Now I can decompose the fractional part. The denominator factors as (x2 + 1)(x − 2).
The x2 + 1 is irreducible, so the decomposition will be of the form:
Multiplying out and solving (using the zeroing-out method for the linear denominator), I get:
2x2 + x + 5 = A(x2 + 1) + (Bx + C)(x − 2):
x = 2: 8 + 2 + 5 = A(5) + (2B + C)(0)
15 = 5A, so A = 3
x = 0: 0 + 0 + 5 = 3(1) + (0 + C)(0 − 2)
5 = 3 − 2C
2 = −2C, so C = −1
x = 1: 2 + 1 + 5 = 3(1 + 1) + (1B − 1)(1 − 2)
8 = 6 + (B − 1)(−1) = 6 − B + 1
8 = 7 − B
1 = −B, so B = −1
Then the complete expansion is:
The preferred placement of the "minus" signs, either "inside" the fraction or "in front", may vary from text to text. Just don't leave a "minus" sign hanging loose.
URL: https://www.purplemath.com/modules/partfrac3.htm
You can use the Mathway widget below to practice doing partial fraction decomposition. Try the entered exercise, or type in your own exercise. Then click the button and select "Split Using Partial Fraction Decomposition" to compare your answer to Mathway's.
Please accept "preferences" cookies in order to enable this widget.
(Click "Tap to view steps" to be taken directly to the Mathway site for a paid upgrade.)
© 2024 Purplemath, Inc. All right reserved. Web Design by