Percent to DecimalPercent to FractionDecimal to PercentFraction to DecimalFraction to PercentEquivalents
Converting any terminating decimal into a fraction is fairly straightforward: you count the number of decimal places, move the decimal point that number of places to the right, and put the resulting number over "1" followed by that number of zeroes.
Content Continues Below
For instance:
This decimal has one decimal place, so I move the decimal point one place to the right, to get 7. Then I put this over 1 followed by one zero (otherwise known as 10) to get:
To call a decimal a "terminating" decimal means that "it ends", unlike, say, the decimal for , which goes on forever.
A non-terminating AND NON-REPEATING decimal CANNOT be converted to a fraction, because it is an irrational (that is, a non-fractional) number.
You should probably just memorize some of the more basic repeating decimals, like 0.33333... = and 0.666666... = . Check out the tables on the last page.)
Any terminating decimal can be converted to a fraction by counting the number of decimal places, and putting the decimal's digits over 1 followed by the appropriate number of zeroes. For example:
Affiliate
The decimal had two decimal places, so I moved the dot two units to the right, and then put the resulting number (namely, 46) over 1 followed by two zeroes (otherwise known as 100). Then I simplified.
Advertisement
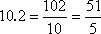
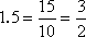
This decimal had one decimal place. I moved the dot one place to the right, and put the resulting number (namely, 15) over 1 followed by one zero (otherwise known as 10). Then I simplified.
This decimal also had only the one decimal place, so the process when the same as before. It's okay to have multiple digits to the left of the decimal point in the original decimal form. You'll just end up with a larger improper fraction when you're done converting.
This decimal had four decimal places, though only one digit of interest (namely, the 3). I moved the dot four places to the right, and put the resulting number over 1 followed by four zeroes (otherwise known as 10,000). The resulting fraction didn't simplify at all.
In the case of a repeating decimal, the following procedure is often used. Suppose you have a number like 0.5777777.... This number is equal to some fraction; call this fraction x. That is:
x = 0.5777777...
There is one repeating digit in this decimal, so multiply x by 1 followed by one zero; that is, multiply by 10:
10x = 5.777777...
Now subtract the former from the latter:
That is, . Solving this (by dividing through by 9), we get . (You can verify this by plugging "26 ÷ 45" into your calculator and seeing that you get "0.5777777..." for an answer.)
Don't worry about "the last 7" at the "end" of the subtraction above. Because these decimals never end (that is, because they're non-terminating, repeating decimals), there is no "last 7", and the subtraction works. It's one of the weird but useful things about infinity.
The previous example had one repeating digit. If there had been, say, three repeating digits (such as in 0.4123123123...), then you would multiply the x by 1 followed by three zeroes; that is, you would multiply by 1000. Then subtract and solve, as in the above example.
x = 0.4123123123...
1000x = 412.3123123123...
Then:
Solving by dividing through by 999, I get:
Content Continues Below
And don't worry if you have leading zeroes, such as in 0.004444...; the procedure will still work:
x = 0.004444....
10x = 0.044444...
Then:
Trust the process.
You can use the Mathway widget below to practice converting decimals to fractions. Try the entered exercise, or type in your own exercise. Then click the button to compare your answer to Mathway's. (Or you can continue with this lesson.)
Please accept "preferences" cookies in order to enable this widget.
(Clicking on "Tap to view steps" on the widget's answer screen will take you to the Mathway site for a paid upgrade.)
Decimal-to-percent conversions are simple: just move the decimal point two places to the right, and slap on a "%" sign. (To keep straight in which direction you're moving the dot, just remember that $0.50 is one-half, or 50%, of a dollar.) For example:
0.23 = 23%
I moved the dot two places to the right, giving me 23, and then added the % sign.
2.34 = 234%
I moved the dot two places to the right. Because they gave me a number with something non-zero to the left of the decimal point, I ended up with a three-digit percentage. That's perfectly okay. Percentages greater than 100% just mean that I've got a lot of whatever they're measuring.
0.0097 = 0.97%
In this case, they gave me a number with zeroes between the decimal point and the first non-zero digit. So, even after moving the dot two places to the right, I still had decimal places. This is perfectly okay. It just means that I've got very little of whatever they're measuring.
(Note that 0.97% is less than one percent. It should not be confused with 97%, which is 0.97 as a decimal.)
If you remember that fractions are division, then this is easy. The calculator can do the work for you, because you can just have it do the division. For example:
I did the long division, which yielded a terminating decimal.
In this case, I got a non-terminating decimal when I did the long division. But the decimal repeated its one digit, with the remainder always being the same, so this is a repeating decimal. The bar is placed over the repeating portion, as a convenient way of indicating that the repeating part is the digit 3.
The long division quickly terminated, giving me a nice neat decimal form. In contrast:
In this case, I continued the long division for quite a ways, to be sure of the result. In practical terms, though, as soon as I got to a repeated remainder, I was done, because every step after that must necessarily repeat the steps that came before. As soon as I got a remainder of 2, I'd reached the repetition point. (Do the long division yourself, if you're not sure.) In this case, there are six digits that repeat, so the repetition bar is over a six-digit block.
Affiliate
When converting fractions to decimals, you may be told to round to a certain place or to a certain number of decimal places. For instance, looking at that last example, as a decimal rounded to the nearest tenth (rounded to one decimal place) is 0.3; to the nearest hundredth (to two decimal places) is 0.29; to the nearest thousandths (to three decimal places) is 0.286; to the nearest ten-thousandths (to four decimal places) is 0.2857; et cetera. If you're not sure how you should format your answer, then give the "exact" form and the rounded form:
The rounded form can be useful for word problems, where a final answer in rounded form may be more practical than a repeating decimal. By the way, there is nothing sacred about my rounding above; unless you're given a specified number of decimal places to which to round, you can use whatever feels reasonable to you. To me, in this particular instance, rounding to three decimal places felt right.
URL: https://www.purplemath.com/modules/percents2.htm
© 2024 Purplemath, Inc. All right reserved. Web Design by